Tunable optical lattices for the creation of matter-wave lattice solitons.

Motivation

The observation of bright discrete solitons in lattice structures have been observed in a number of systems such as optical waveguides [1], josephson junctions [2] and coupled pendula [3]. In ultracold quantum gases we have recently reported observation of these solitons in an optical lattice potential [4]. Realising these solitons experimentally can be challenging, in large part due to the high degree of control needed over parameters such as the density profile over 1-3 lattice sites, as well as the properties of the lattice itself. As a response, we made use of an optical accordion lattice to help provide additional control and also to better image individual sites with a few hundred atoms. This latest publication [5] acts as a sister publication to Ref. [4], whereby we discuss the experimental setup and techniques in more detail.

Experimental setup

The experimental workhorse is the optical accordion lattice, which has a tunable lattice spacing. The working principle of the lattice is to have the lattice beams interfere at angle $\theta$, meaning the lattice spacing is defined as $$ D_L = \frac{\lambda}{2\sin{\theta_L}}$$ where $\lambda$ is the wavelength of the laser light. To change the angle we made use of an acousto-optic deflector (AOD), which depending on the voltage supplied to a crystal changes the angle of the laser beam $\theta_\text{d}$ [Fig. 1]. After passing through a series of beam splitters and lenses the two beams are focused onto the atoms. The angle $\theta_\text{d}$ directly controls the angle $\theta_\text{L}$ and the AOD allows fast control, with a bandwidth of 20kHz. The phase of the lattice was monitored using a CCD camera and feedback stabilised using a piezo-mechanical actuator that adjusts the position of mirror M1 [Fig. 1].

Fig. 1: (a) The experimental setup uses an accordion lattice with variable lattice spacing. (b) The accordion lattice is created with an acousto-optic deflector.

Fig. 1: (a) The experimental setup uses an accordion lattice with variable lattice spacing. (b) The accordion lattice is created with an acousto-optic deflector.

Magnification sequence

Besides providing additional control over soliton preparation, the other main use of the accordion lattice was to provide better imaging of the final state. At the end of the sequence the lattice depth was quickly increased to freeze out any inter-site tunnelling, before a slow increase in the lattice spacing allowed us to image individual sites [6]. Currently, our resolution limit is $5\mu$m, lattice solitons exist usually for lattice spacings $d_L<3-4\mu$m, meaning we were unable to image the sites in situ. We adjusted the final magnified spacing depending on the soliton [Fig. 2], for single-site solitons we increased the magnification, while for multisite solitons we magnified less to image more sites.

Fig. 2: Absorption images of atoms in lattice sites for increasing magnification.

Fig. 2: Absorption images of atoms in lattice sites for increasing magnification.

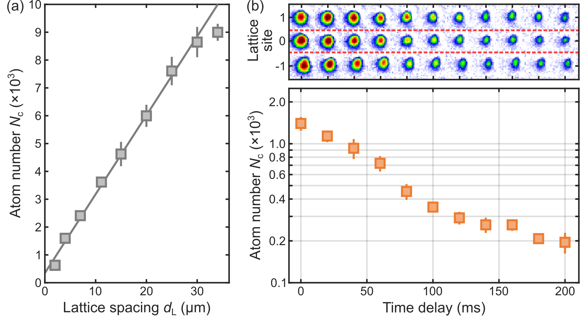
Control of atom number per site

To prepare a desired number of atoms per site we used two different methods depending on the desired number. For rough control $(1,000<N_i<10,000)$, we simply loaded the BEC into the lattice with a set depth and spacing [Fig. 3(a)]. For finer control $(N_i<1,000)$ we first allowed the the BEC to expand vertically by switching off the horizontal dipole beam D1, before turning the lattice on [Fig. 3(b)]. The delay between these two processes allowed for two hundred atoms to be reliably prepared.

Fig. 3: Control of atom number per site. (a) Coarse control of the atom number $N_i$ is provided by changing the lattice spacing during loading. (b) Fine control was achieved through allowing the atoms to expand vertically in a dipole trap before loading the lattice. The time delay between these two processes was used as a parameter. Upper: images of the central three sites. Lower: extracted atom number in the central site.

Fig. 3: Control of atom number per site. (a) Coarse control of the atom number $N_i$ is provided by changing the lattice spacing during loading. (b) Fine control was achieved through allowing the atoms to expand vertically in a dipole trap before loading the lattice. The time delay between these two processes was used as a parameter. Upper: images of the central three sites. Lower: extracted atom number in the central site.

Microwave assisted atom removal

To prepare bespoke density profiles, e.g. a single site or 2-3 sites we made use of a microwave removal scheme. Due to the magnetic levitation gradient in our setup and the internal Zeeman splitting of the atoms, there is a position-dependent transition frequency. This allowed for specific lattice sites to be removed depending on the frequency of the microwave generator. After the atoms’ internal state is changed they are no longer trapped an were removed from the experiment. Using this technique we could reliably remove one site, keep only one site or keep many sites with the exact efficiency being $>90%$, depending on the lattice spacing [Fig. 4]

Fig. 4: Preparation using microwave-assisted atom removal. (a) Measured efficiency in removing the central lattice site for varying lattice spacing. (b) Images showing preparation of a single lattice site for varying lattice spacing.

Fig. 4: Preparation using microwave-assisted atom removal. (a) Measured efficiency in removing the central lattice site for varying lattice spacing. (b) Images showing preparation of a single lattice site for varying lattice spacing.

Soliton generation and optimising quench parameters

Finally, to generate the solitons the atoms were left to rest in an external trap for 10-50 ms before the potential was removed and the inter-atomic interaction strength was quenched from repulsive to attractive by changing the scattering length $a_s$. This meant that the dispersive properties of the wavepacket was counteracted by the internal attractive interactions. The exact value value of $a_s$ depends on the atom number (among other parameters), for our setup we found a value of $-15 a_0$ led to the most stable soliton [Fig. 5(a)]. As a measure of stability we measured the fraction of atoms remaining in the central site.

We also optimised the speed of this quench, long quenches can destroy the wavepacket due to the non-adiabacitity of the ramp. Overall the soliton atom number showed an exponential decrease with increasing quench durations. For our parameters stable single-site solitons formed with quench durations in the range 1-5ms

Fig. 5: Soliton generation and quench optimisation. (a) Measured atom number remaining in central site 100 ms after quench. (b) Averaged in situ images 100 ms after quenches to $-15 a_0$ (upper, soliton formed), $-11 a_0$ (middle, dispersion) and $+23 a_0$ (bottom, repulsive soliton). (c) Quench time optimisation, remaining atom number 50 ms after quench.

Fig. 5: Soliton generation and quench optimisation. (a) Measured atom number remaining in central site 100 ms after quench. (b) Averaged in situ images 100 ms after quenches to $-15 a_0$ (upper, soliton formed), $-11 a_0$ (middle, dispersion) and $+23 a_0$ (bottom, repulsive soliton). (c) Quench time optimisation, remaining atom number 50 ms after quench.

For more information, please see Opt. Express 34, 623-637 (2026).

Links: