High-fidelity multi-qubit gate operations using ARP pulses
High-fidelity multi-qubit gate operations using ARP pulses

High-fidelity multi-qubit gate operations

We have developed a robust protocol for implementing high-fidelity multiqubit controlled phase gates (CkZ) on neutral atom qubits coupled to highly excited Rydberg states.

Atomic level scheme We model gate fidelities for two-level excitation including the full intermediate state hyperfine structure.

Atomic level scheme We model gate fidelities for two-level excitation including the full intermediate state hyperfine structure.

Our approach is based on extending adiabatic rapid passage (ARP) to two-photon excitation via a short-lived intermediate excited state common to alkali-atom Rydberg experiments, accounting for the full impact of spontaneous decay and differential AC Stark shifts from the complete manifold of hyperfine excited states. We evaluate and optimisze gate performance using optimal control techniques to calculate Rabi frequency and detuning parameters in time. For Cs and currently available laser frequencies and powers, a CCZ gate with fidelity F > 0.995 for three qubits.
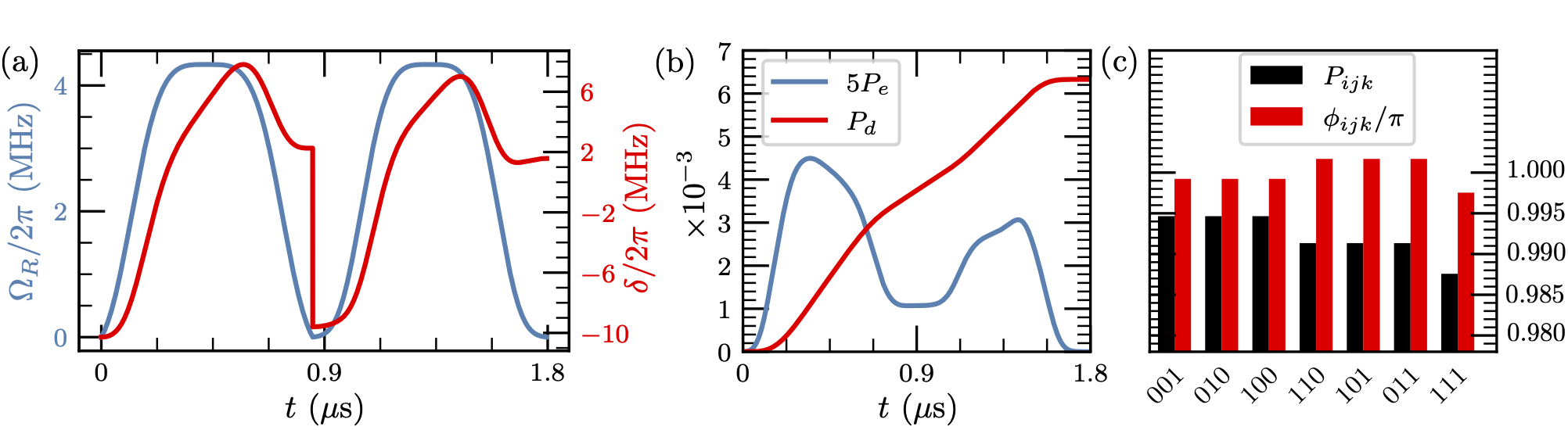
Three atom CCZ gate We show (a) optimal pulse parameters for the CCZ gate, (b) leakage errors from spontaneous decay and excitation of the intermediate excited state (c) Resulting phase and amplitude of the optimal gate sequence.

Three atom CCZ gate We show (a) optimal pulse parameters for the CCZ gate, (b) leakage errors from spontaneous decay and excitation of the intermediate excited state (c) Resulting phase and amplitude of the optimal gate sequence.

This same technique can be used to find gates for four or more qubits, with the performance limitation imposed simply by the largest distance between any atom pair. For four qubits, this can be done using either a planar square geometry or in 3D with a pyramid offering CCCZ with F > 0.99 for four qubits is attainable in ∼ 1.8 μs via this protocol. Higher fidelities are accessible with future technologies, and our results highlight the utility of neutral atom arrays for the native implementation of multiqubit unitaries."

Four atom CCCZ Gate Optimal pulse shapes for 4 qubits in different geometries.

Four atom CCCZ Gate Optimal pulse shapes for 4 qubits in different geometries.

For more details see our paper in QST.

G. Pelegri, A. Daley and J.D. Pritchard, High-fidelity multiqubit Rydberg gates via two-photon adiabatic rapid passage, Quantum Sci. Technol. 7, 045020 (2022)